• Künye
  • İletişim
  • Çerez Politikası
  • Gizlilik İlkeleri
Anasayfa
  • Gündem
  • Siyaset
  • Ekonomi
  • Dünya
  • Politika
  • Magazin
  • Spor
  • Asayiş
    Vefat Edenler
  • Sağlık Kültür-Sanat Bilim ve Teknoloji Eğitim Yerel Genel Çevre
  • Ara
SON DAKİKA:
11:50
Fatih Anadolu Lisesi'nde "Maarif Perspektifinde Sağlıklı Ramazan" Söyleşisi
11:30
Karaman Ak Parti Teşkilatı İftara Dakikalar Kala Vatandaşın Yanında
11:19
Karaman Tarım İl Müdürlüğü Personeli Genç Yaşta Vefat Etti
Video Galeri Foto Galeri Yazarlar Üye Paneli
A
Büyüt
A
Küçült
Yorumlar
  1. Haberler
  2. Genel
  3. Karaman'da okullarda işe başlayacak olanların listesi açıklandı
Genel
Yayınlanma: 01 Ekim 2024 - 12:58
Güncelleme: 01 Ekim 2024 - 13:03

Karaman'da okullarda işe başlayacak olanların listesi açıklandı

Genel
01 Ekim 2024 - 12:58
Güncelleme: 01 Ekim 2024 - 13:03
Yorumlar
TAKİP ETTAKİP ET
Yazdır
A
Büyüt
A
Küçült
Yorumlar
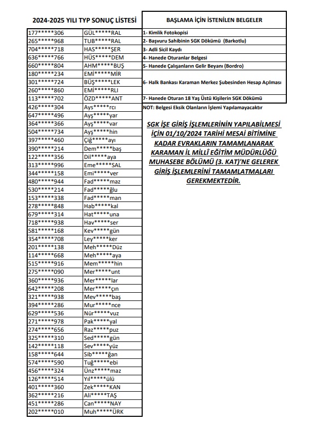
Karaman'da okullarda işe başlayacak olanların listesi açıklandı
Karaman'da okullarda işe başlayacak olan TYP personelleri listesi belli oldu

 

 

  • YORUMLAR
  • FACEBOOK
adlı kullanıcıya cevap x
İlginizi Çekebilir
Karaman'ın Sevilen Kalemi Mustafa Selvidal'dan Yine Yüreklere Dokunan Bir Yazı
Karaman'ın Sevilen Kalemi Mustafa Selvidal'dan Yine Yüreklere Dokunan Bir Yazı
Balıkesir'den Hahreden Haber 1 Askerimiz Şehit
Balıkesir'den Hahreden Haber 1 Askerimiz Şehit
KİRACILARA AYLIK 7 BİN 500 TL'YE KADAR DESTEK
KİRACILARA AYLIK 7 BİN 500 TL'YE KADAR DESTEK
Ramazan Ayında Yapılacak İbadetler
Ramazan Ayında Yapılacak İbadetler
Son Haberler
Fatih Anadolu Lisesi'nde
Fatih Anadolu Lisesi'nde "Maarif Perspektifinde Sağlıklı Ramazan" Söyleşisi
Karaman Ak Parti Teşkilatı İftara Dakikalar Kala Vatandaşın Yanında
Karaman Ak Parti Teşkilatı İftara Dakikalar Kala Vatandaşın Yanında
Karaman Tarım İl Müdürlüğü Personeli Genç Yaşta Vefat Etti
Karaman Tarım İl Müdürlüğü Personeli Genç Yaşta Vefat Etti
Karaman'a Müjde Hayırlı Olsun
Karaman'a Müjde Hayırlı Olsun
Galatasaray'ın Şampiyonlar Ligi'ndeki rakibi belli oldu
Galatasaray'ın Şampiyonlar Ligi'ndeki rakibi belli oldu
Muş'ta ses cihazları ve farlar ile avlanan 3 kişiye 39 bin 500 TL para cezası
Muş'ta ses cihazları ve farlar ile avlanan 3 kişiye 39 bin 500 TL para cezası

Ana Sayfa
Gündem
Siyaset
Ekonomi
Dünya
Politika
Magazin
Spor
Asayiş
Sağlık
Kültür-Sanat
Bilim ve Teknoloji
Eğitim
Yerel
Genel
Çevre
Köşe Yazarları
Foto Galeri
Video Galeri
Biyografiler
Vefatlar
Üye Paneli
Günün Haberleri
Arşiv
Gazete Arşivi
Anketler
Hava Durumu
Gazete Manşetleri
Nöbetci Eczaneler
Namaz Vakitleri
  • Dünya
  • Ekonomi
  • Gündem
  • Kültür-Sanat
  • Magazin
  • Sağlık
  • Siyaset
  • Spor
  • Foto Galeri
  • Video Galeri
  • Köşe Yazarları
  • Biyografiler
  • Vefatlar
  • Üye Paneli
  • Günün Haberleri
  • Arşiv
  • Gazete Arşivi
  • Anketler
  • Hava Durumu
  • Gazete Manşetleri
  • Nöbetci Eczaneler
  • Namaz Vakitleri

  • Rss
  • Künye
  • İletişim
  • Çerez Politikası
  • Gizlilik İlkeleri

Karaman Postası Karaman Haber | logoki

Yazılım: Tumeva Bilişim

Sponsorlu bağlantılar; www.karamanguncel.com Karaman Haber Karaman
" } }; $(document).ready(function () { $infinityContainer = $('#haberler').infiniteScroll({ path: function() { return $('.haber-kapsa').last().find('#sonrakiHaber').attr('href'); }, append: '.haber-kapsa', prefill: true, historyTitle: true, history: 'push', status: '.page-load-status', }); if ($infinityContainer) { $infinityContainer.on('history.infiniteScroll', function(event, title, path) { $(".scroll-go").click(function() { var e = $(this).attr("data-scroll"); $("html, body").animate({ scrollTop: $("#" + e).offset().top }, 1e3) }); $("article").addClass("my-3"); $(".news-start").addClass("border-bottom"); $('.mb20').on('load', function() { $(this).css('cssText', 'height: '+this.contentDocument.body.scrollHeight+'px !important'); }); FB.XFBML.parse(); gtag('config', PRIME.settings.analytics, { 'page_path': window.location.pathname }); ym('hit', PRIMEMETRICA.settings.metrika, { 'url': window.location.pathname }); }); } }); // //